L'HOPITAL RECRUTE
Retrouvez sur cette page toutes nos offres d'emploi d'ordre médical et non-médical.
RECRUTEMENT A LA UNE :
Reponsable Fonctions Supports (services Hôteliers, Bionettoyage et Blanchisserie) :
| Télécharger le fichier Offre Responsable Fonctions supports Contenu du fichier : |
Agent de sécurité - sûreté : ![]()
Télécharger le fichier Agent Securite-Surete (2)
Contenu du fichier :
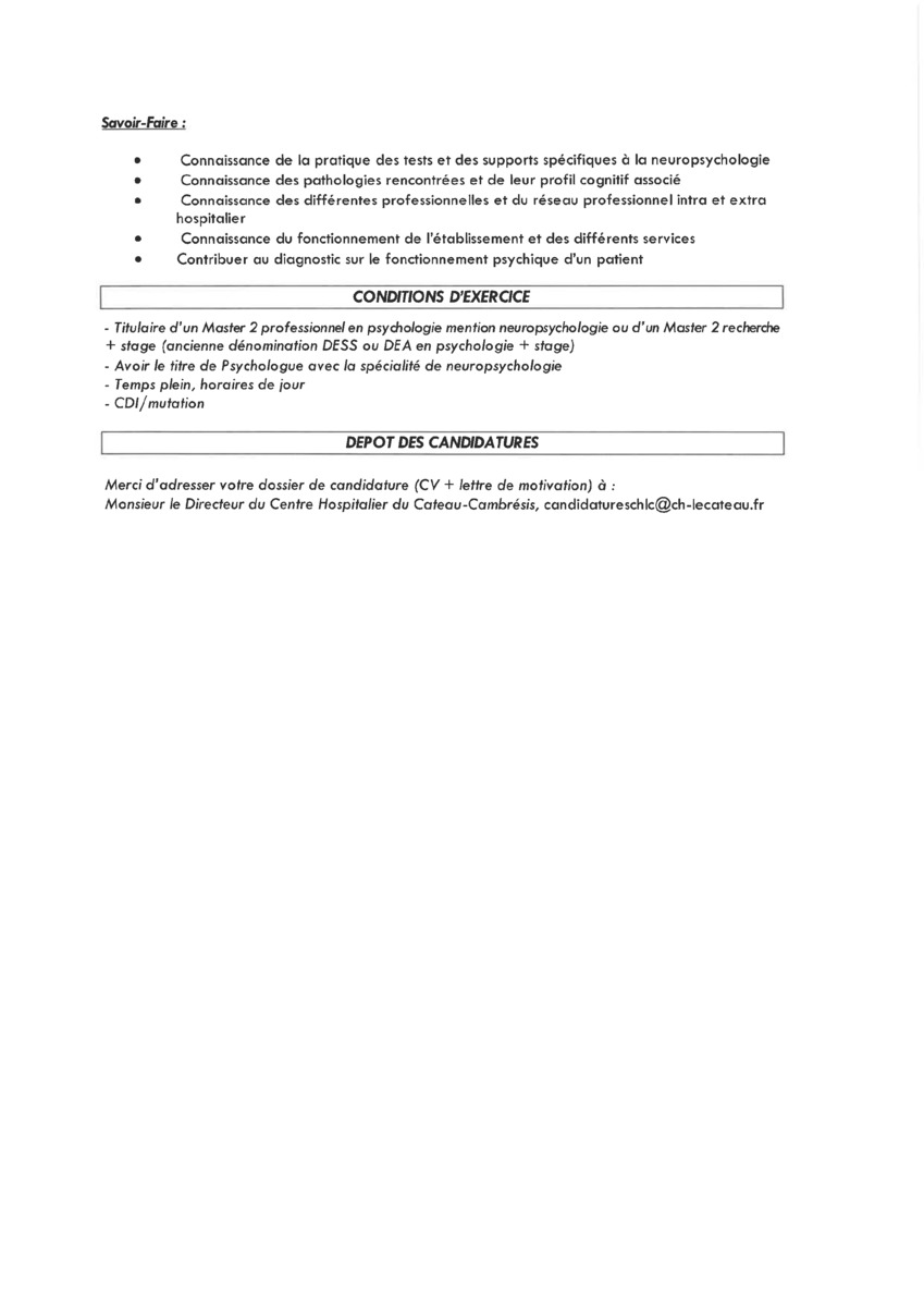
Neuropsychologue : ![]()
Télécharger le fichier OFFRE EMPLOI NEUROPSY
Contenu du fichier :
Le Centre Hospitalier recrute régulièrement de nouveaux collaborateurs, ci-dessous une liste non exhaustive des profils les plus souvent recherchés :
EQUIPE ADMINISTRATIVE ET TECHNIQUE
- Agent de restauration
- Responsable Fonctions Supports
EQUIPE MEDICALE
- Médecin addictologue
- Gynécologue-Obstétricien
- Médecin généraliste
- Médecin anesthésiste
- Pédiatre: Pédiatre
- Médecin à orientation gériatrique
EQUIPE PARAMEDICALE
- IBODE (Infirmier de Bloc)
- Infirmier (Urgences et Surveillance Continue = Poste en 12h)
- Cadre de Santé en Addictologie
- Infirmier (Médecine/ Court Séjour Gériatrique) :
Au CAMSP de Caudry:
- Orthophoniste
- Psychomotricien
- Psychologue
- Ergothérapeute
- Educateur spécialisé
- Kinésithérapeute
Au Centre Hospitalier:
- Psychologue (consutations douleurs)
- Neuropsychologue
- Professeur d'activités physiques adaptées
- Kinésithérapeute
- Infirmiers et aides-soignants






